
移动电源设计的关键设计测试是由EMI电子工程师经常担心测试EMI测试失败。若电路EMI几次测试失败将是一场噩梦。你必须日夜工作EMI实验室工作可以解决问题,防止商品发布延迟。对于移动电源等消费品,设计周期短,EMI验证限制严格,想加足够的EMI过滤器顺利完成EMI测试。但是你不想增加空间,也不想在电路层面增加太多的成本,这似乎很难两者兼而有之。
TIdesign低辐射EMI变压器参考设计(PMP9778)带来了这样的解决方案。可适用于2.7-4.4V输入电压.5V/3A.9V/2A和12V/1.5A功率,只适用于移动电源应用软件。根据布局和布局的升级TI设计能获得的裕度比在EN55022和CISPR22B六声贝高于级辐射测试。让我们来看看设计过程。
明确重要的电流通道
EMI从电流转变(di/dt)循环的高瞬时速率逐渐增加。因此,我们应该在设计开始时区分高di/dt关键路径。掌握开关电源中的电流传输路径和信号流是很重要的。
图1显示了变压器的拓扑结构和临界电流路径。S2合闭,S当1打开时,交流电流流过蓝色环路。S1合闭,S当2打开时,交流电流流过绿色环路。因此,电流通过输入电容器Cin,电感器L是一个连续电流,电流通过S2.S并导出电容器Cout是脉冲电流(红色环路)。因此,红色环路被定义为临界电流路径。这种方法最高EMI动能。在布局期间,应尽量避免被它包围的区域。
图1.升压转换器的临界电流路径
最小化高di/dt环路面积
图2所示为TPS61088引脚配备。图3显示TPS61088临界电流路径布局实例。NC引脚表示设备内部没有连接。因此,它们可以连接到PGND。从电气的角度来看,有两个NC引脚连接到PGND接地平面有利于排热,减少回路阻抗。EMI从角度看,两个NC引脚连接到PGND促进接地平面TPS61088的VOUT和PGND平面更接近对方。这使得导出电容器的布局更容易。从图3可以看出,06031-UF(或04021-UF)高频陶瓷电容器COUT_HF尽量挨近VOUT引脚会导致高di/dt环路面积最小。
图2.TPS61088引脚配置
图3.TPS61088关键路径布局示例
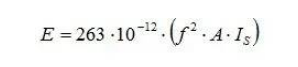
距离接地平面10米的高度di/di以下计算公式可以强制回路的大场:
图4显示使用和不使用COUT_HF的辐射EMI结论。EMI根据COUT_HF改善了4dBuV/m。
(图4.带/没有COUT_HF的辐射EMI结论)
在关键路径下放置一个接地平面
高跟踪电感引起辐射EMI差,由于磁场强度与电感正相关,将固定接地平面放置在临界跟踪的下一层。
表1不同PCB板中的跟踪电感。您可以看到,在信号层和接地平面之间0.4mm四层绝缘厚度PCB其跟踪电感比1.2mm厚的2层PCB跟踪电感要小得多。因此,放置间距最小的固定接地平面的关键路径是减少EMI最有效的方法之一。
表1.跟踪电感(布线长度)=5cm)
PCBh(mm)Wg(mm)L(nH)单面PCB----522层PCB1.2103.64层PCB0.4101.2
图5所示为2层PCB和4层PCB的辐射EMI结论。辐射是基于相同的布局和相同的试验条件EMI根据4层PCB可改进10dBuV/m。
图5.一个2层PCB和一个4层PCB的辐射EMI结果
加上RC缓冲器
如果辐射水平仍超过规定水平,且布局不能再改善,则在TPS61088SW加一个引脚RC缓冲器和电源接地有助于减少辐射EMI水准。RC缓冲器应放置在限位开关节点和电源接地位置(图6)。它能有效地抑制它SW电压环,这意味着在振铃频率环境下辐射EMI测试得到改进。
图6.RC缓冲器的布置
通过上述简单而有效的优化方式,良好的EMI性能在移动电源设计中成为可能。